东北地理所在钾素调控菜用大豆籽粒蔗糖代谢积累研究方面取得新进展
菜用大豆是一种公认的绿色健康食品,相对于普通大豆而言,种植菜用大豆具有较高的经济效益。然而菜用大豆食用品质直接影响市场销量,糖份含量的高低是影响菜用大豆食用品质的关键因子。合理的施用钾肥可显著提高菜用大豆籽粒中糖分含量,但以往的研究多集中于钾素对作物源端碳水化合物的供应情况,而对库器官存储的调控方向研究较少。
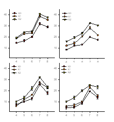
为此,在国家自然科学基金(41471241)和黑龙江省重点基金(ZD201307)的资助下,中国科学院东北地理与农业生态研究所大豆分子育种学科组张秋英研究员、刘长锴博士研究生及涂冰洁硕士研究生等从钾素调控菜用大豆籽粒蔗糖代谢关键酶活性及植物内源激素信号变化角度出发,探究了不同施钾处理条件下,菜用大豆籽粒中蔗糖代谢关键酶活性及内源激素变化与籽粒蔗糖积累间的关系。研究发现施钾后籽粒中蔗糖合成方向酶活性增强,分解方向酶活性变化较小,这对于维持库器官中较高水平的蔗糖含量具有重要作用;同时,施钾增加了菜用大豆籽粒中IAA、GA、ZR的含量,降低了ABA的含量,并且籽粒中ABA的含量与籽粒中蔗糖积累量呈极显著负相关,初次发现籽粒中ABA/(IAA+GA+ZR)的变化动态与籽粒中蔗糖变化动态一致(图1,图2),表明钾素可通过影响内源激素之间的平衡,进而促进籽粒中蔗糖的累积,该发现可为激素调控蔗糖积累方面研究提供新思路,对于合理施用钾肥,改善菜用大豆食用品质具有重要意义。
目前,研究结果发表或即将发表在国际期刊Journal of Plant Research和Crop Science上(已接收)。

Weeks after flowering Weeks after flowering
图1不同施钾处理对菜用大豆籽粒形成期 图2不同施钾处理对菜用大豆籽粒形成期
籽粒中ABA/(IAA+GA+ZR)变化动态的影响 籽粒中蔗糖积累动态的影响
论文信息:
Tu B, Liu C, Tian B, Zhang Q, Liu X, Herbert SJ. Reduced abscisic acid content is responsible for enhanced sucrose accumulation by potassium nutrition in vegetable soybean seeds[J]. Journal of Plant Research, 2017, 130(3): 551-558.
https://link.springer.com/article/10.1007/s10265-017-0912-x
ChangkaiLiu, BingjieTua, Yansheng Li, Bowen Tian, QiuyingZhang, XiaobingLiu,Stephen J. Herbertc.Potassium application affects key enzyme activities of sucrose-metabolism during seed-filling in vegetable soybean (Glycine max L. Merr.)[J]. Crop science, 2017 (已接收).
附件下载: