• 首 页
  • 中心介绍
    • 机构简介
    • 主任致辞
    • 现任领导
    • 历任领导
    • 学术委员会
    • 学位委员会
    • 历史沿革
    • 园区风貌
  • 机构设置
    • 科研系统
      • 中国科学院大豆分子设计育种重点实验室(学科组群)
      • 黑土区农业生态研究中心(学科组群)
      • 农业资源利用研究中心(学科组群)
      • 盐碱地农业研究中心(学科组群)
      • 黑龙江省黑土生态重点实验室
      • 黑龙江省寒地作物基因资源发掘与种质创新重点实验室
      • 黑龙江省黑土水土保持工程技术研究中心
    • 管理系统
      • 综合办公室(含党委办公室)
      • 科研计划处
      • 人事教育处
      • 财务管理处
    • 支撑系统
      • 《土壤与作物》期刊编辑部
    • 野外平台
      • 中国科学院海伦农业生态实验站
      • 中国科学院东北地理所海伦黑土水土保持监测研究站
  • 人才建设
    • 院士
      • 院士
      • 双聘院士
    • 国家基金委人才
      • 国家杰出青年基金
    • 院级人才
      • 关键技术人才及技术支撑人才
      • 区域发展青年学者
      • 青年创新促进会会员
    • 兴土人才
      • 基础和应用基础研究类
      • 成果转化类
    • 正高级专业技术人员
      • 支撑系统
      • 管理系统
    • 副高级专业技术人员
      • 支撑系统
      • 管理系统
    • 中级专业技术人员
      • 支撑系统
      • 管理系统
    • 特别研究助理
      • 中国科学院大豆分子设计育种重点实验室(学科组群)
      • 黑土区农业生态研究中心(学科组群)
      • 农业资源利用研究中心(学科组群)
      • 盐碱地农业研究中心(学科组群)
    • 博士后
      • 中科院黑土区农业生态重点实验室
      • 中科院大豆分子设计育种重点实验室
  • 科研成果
    • 概要
    • 获奖
    • 论文
    • 专著
    • 专利
    • 应用技术
    • 标准
  • 研究生教育
    • 概况
    • 招生信息
      • 招生简介
      • 博士招生简章
      • 博土招生目录
      • 硕土招生简章
      • 硕土招生目录
      • 硕土推免生及直博生公告
      • 考试大纲及参考书相
      • 硕士试题下载
    • 导师介绍
      • 博士导师
      • 硕士导师
    • 研究生会
    • 管理制度
    • 表格下载
      • 招生用表格
      • 学籍用表格
      • 论文与学位用表格
      • 教师用表格
      • 毕业
      • 联合培养表格
      • 其它
  • 党群园地
  • 科学传播
    • 科普动态
    • 科普文章
    • 科普图片/视频
  • 信息公开
    • 信息公开规定
    • 信息公开指南
    • 信息公开目录
    • 依申请公开
      • 在线申请-公民
      • 在线申请-法人/其他组织
    • 信息公开年度报告
    • 信息公开联系方式
    • 预算决算
  • 新闻动态
    • 重要新闻
    • 科研动态
    • 精选论文
    • 综合新闻
    • 党群工作
    • 传媒扫描
    • 合作交流
  • 其他
    • 通知公告
    • 学术报告
    • 招聘启事
    • 联系我们
  • 专栏
    • 学术期刊
    • 公共技术服务中心
    • 文献资源
    • 数据中心
      • 国家地球系统科学数据中心——黑土与湿地分中心
      • 东北亚资源环境大数据中心
  • 专题
    • “黑土良仓”科技会战
    • 深入学习宣传贯彻党的二十届三中全会精神
    • 深入开展党纪学习教育
    • 二十大学习
    • 建党百年
    • 抗击新冠病毒
    • 深入贯彻学习党的十九届六中全会精神
    • 深入贯彻学习党的十九届五中全会精神
    • 60周年所庆
    • 不忘初心、牢记使命主题教育
    • 十九大专题
    • 学习实践科学发展观专栏
    • “两学一做”学习教育专题
    • 热烈庆祝东北地理所成立50周年
    • 自力更生?抗震救灾
    • 创建改革创新和谐奋进研究所宣传专栏
    • 创先争优
    • 一三五专栏
    • 东北地区抗洪救灾专题数据集
    • 群众路线主题实践活动
    • 深切缅怀刘兴土院士
  • 规章制度
    • 机构管理
    • 科研活动管理
    • 人事教育管理
    • 综合管理
  • 邮箱
  • ARP
  • 内网
  • 网站地图
  • ENGLISH
  • 东北地理所
  • 中国科学院
  • 邮箱
  • ARP
  • 内网
  • 网站地图
  • ENGLISH
  • 东北地理所
  • 中国科学院
  • 首 页
  • 中心介绍
    • 机构简介
        中国科学院东北地理与农业生态研究所是中国科学院设在东北地区的综合性地理学、农学、生态学、环境科学与技术研究机构和人才培养基地。现拥有中国科学院黑土区农业生态重点...
      • 历任领导
      • 学术委员会
      • 学位委员会
      • 历史沿革
      • 园区风貌
      现任领导
      • 李向楠

        副所长、农业技术中心主任

      • 刘俊杰

        农业技术中心副主任

      • 邹文秀

        农业技术中心副主任

      主任致辞
        中国科学院东北地理与农业生态研究所农业技术中心(简称中国科学院东北地理所农业技术中心)前身为中国科学院黑龙江农业现代化研究所,成立于1978年。2002年3月经中国科学院批准,由中国科学院长春地理研究所和中国科学院黑龙江农业现代化研究所整合组建而成中国科学院东北地理与农业生态研究所。我们希望与长期以来关注...
  • 机构设置
    • 科研系统
      • 中国科学院大豆分子设计育种重点实验室(学科组群)
      • 黑土区农业生态研究中心(学科组群)
      • 农业资源利用研究中心(学科组群)
      • 盐碱地农业研究中心(学科组群)
      • 黑龙江省黑土生态重点实验室
      • 黑龙江省寒地作物基因资源发掘与种质创新重点实验室
      • 黑龙江省黑土水土保持工程技术研究中心
      管理系统
      • 综合办公室(含党委办公室)
      • 科研计划处
      • 人事教育处
      • 财务管理处
      支撑系统
      • 《土壤与作物》期刊编辑部
      野外平台
      • 中国科学院海伦农业生态实验站
      • 中国科学院东北地理所海伦黑土水土保持监测研究站
      • 黑龙江省呼玛寒温带植物种质资源保育野外科学观测研究站
  • 人才建设
    • 概况
      中科院东北地理所农业技术中心现有各类职工130余人,65%以上具有研究生学历,包括国家杰青1人、中国科学院重要人才计划入选者7人、中国科学院关键技术人才1人、国家级重大科技项目首席科学家3人。
      • 院士
      • 国家基金委人才
      • 院级人才
      • 兴土人才
      • 正高级专业技术人员
      • 副高级专业技术人员
      • 中级专业技术人员
      • 特别研究助理
      • 博士后
  • 科研成果
    • 概要
      农业技术中心主要任务是围绕国家粮食安全和生态安全的重大战略需求,面向国际科技前沿,形成了基于地表系统过程的农业生态学自主创新体系。在大豆分子育种方面,首次克隆了控制大豆开花期的最大位点基因E1以及控制大豆长青春期性状的经典基因J ,揭示大豆光周期反应的本质,阐明了大豆适应高纬度与低纬度的不同分子机理。发表SCI学术论文337篇,发表CSCD学术论文456篇,其中在Science 、 Nature Genetics 、 PNAS 、 Plant Cell等国际著名学术刊物上发表有关中国粮食需求解决途径与挑战、大豆光周期调控开花研究、水稻抽穗期和抗逆基因功能解析等成果。
      • 获奖
      • 论文
      • 专著
      • 专利
      • 应用技术
      • 标准
  • 研究生教育
    • 概况
        东北地理所是1978年恢复学位制度后,第一批硕士学位授予单位。现有环境科学与工程、地理学、生态学和农业资源与环境四个一级学科博士后流动站...
      • 导师介绍

      • 研究生会

      • 管理制度

      招生信息
      • 招生简介
      • 博士招生简章
      • 博土招生目录
      • 硕土招生简章
      • 硕土招生目录
      • 硕土推免生及直博生公告
      • 考试大纲及参考书相
      • 硕士试题下载
      表格下载
      • 招生用表格
      • 学籍用表格
      • 论文与学位用表格
      • 教师用表格
      • 毕业
      • 联合培养表格
      • 其它
  • 党群园地
  • 科学传播
    • 科普动态
      • 农业技术中心举办“认知黑土、爱护生物、守护大粮仓”科普宣传活动
      • 东北地理所举办中科院第四届科学节活动
      • 东北地理所举行中科院第十七届公众科学日活动
      • 东北地理所开展公众科学日“走进实验室”科普主题活动
      • 东北地理所科研人员为长春市中小学生做科普报告
      • 东北地理所举办“地球一小时”科普活动
      科普文章
      • 【科学大院】如何保护黑土?有一个“偷懒”的办法
      • 【科普中国】守护中国大粮仓:科学用养黑土地是关键
      • 【科学大院】黑土保卫战:守护“耕地中的大熊猫”
      • 【科学大院】要唠生物多样性,土壤可就不困了啊
      • 甲虫的硬壳是怎么来的?
      • 【中科院之声】森林健康可评估 多源遥感显神通
      科普图片/视频
      • 一粟一天堂
      • 一花一世界
  • 信息公开
    • 工作信息

      相关规定

      • 信息公开规定
      • 信息公开指南
      • 信息公开目录

      年度报告

      • 中国科学院东北地理与农业生态研究所信息公开工作2023年度报告
      • 中国科学院东北地理与农业生态研究所信息公开工作2022年度报告

      组织机构

      • 工作机构
      • 监督机构
      主动公开

      基本信息

      • 单位概况
      • 机构设置
      • 现任领导
      • 发展规划

      规章制度

      • 机构管理
      • 科研活动管理
      • 人事教育管理
      • 综合管理

      科学研究

      • 研究成果

      财政经费

      • 预算决算

      人事人才

      • 人才队伍
      • 招生与培养
      • 人才招聘

      合作交流

      • 国际交流
      • 院地合作

      科学传播

      • 科普资源

      年度统计与出版物

      • 出版物
  • 首 页
  • 中心介绍
    • 机构简介
    • 主任致辞
    • 现任领导
    • 历任领导
    • 学术委员会
    • 学位委员会
    • 历史沿革
    • 园区风貌
  • 机构设置
    • 科研系统
      • 中国科学院大豆分子设计育种重点实验室(学科组群)
      • 黑土区农业生态研究中心(学科组群)
      • 农业资源利用研究中心(学科组群)
      • 盐碱地农业研究中心(学科组群)
      • 黑龙江省黑土生态重点实验室
      • 黑龙江省寒地作物基因资源发掘与种质创新重点实验室
      • 黑龙江省黑土水土保持工程技术研究中心
    • 管理系统
      • 综合办公室(含党委办公室)
      • 科研计划处
      • 人事教育处
      • 财务管理处
    • 支撑系统
      • 服务中心
      • 《土壤与作物》期刊编辑部
    • 野外平台
      • 中国科学院海伦农业生态实验站
      • 中国科学院东北地理所海伦黑土水土保持监测研究站
  • 人才建设
    • 院士
      • 院士
      • 双聘院士
    • 国家基金委人才
      • 国家杰出青年基金
    • 院级人才
      • 关键技术人才及技术支撑人才
      • 区域发展青年学者
      • 青年创新促进会会员
    • 兴土人才
      • 基础和应用基础研究类
      • 成果转化类
    • 正高级专业技术人员
      • 支撑系统
      • 管理系统
    • 副高级专业技术人员
      • 支撑系统
      • 管理系统
    • 中级专业技术人员
      • 支撑系统
      • 管理系统
    • 特别研究助理
      • 中国科学院大豆分子设计育种重点实验室(学科组群)
      • 黑土区农业生态研究中心(学科组群)
      • 农业资源利用研究中心(学科组群)
      • 盐碱地农业研究中心(学科组群)
    • 博士后
      • 中科院黑土区农业生态重点实验室
      • 中科院大豆分子设计育种重点实验室
  • 科研成果
    • 概要
    • 获奖
    • 论文
    • 专著
    • 专利
    • 应用技术
    • 标准
  • 研究生教育
    • 概况
    • 招生信息
      • 招生简介
      • 博士招生简章
      • 博土招生目录
      • 硕土招生简章
      • 硕土招生目录
      • 硕土推免生及直博生公告
      • 考试大纲及参考书相
      • 硕士试题下载
    • 导师介绍
      • 博士导师
      • 硕士导师
    • 研究生会
    • 管理制度
    • 表格下载
      • 招生用表格
      • 学籍用表格
      • 论文与学位用表格
      • 教师用表格
      • 毕业
      • 联合培养表格
      • 其它
  • 党群园地
  • 科学传播
    • 科普动态
    • 科普文章
    • 科普图片/视频
  • 信息公开
    • 信息公开规定
    • 信息公开指南
    • 信息公开目录
    • 依申请公开
      • 在线申请-公民
      • 在线申请-法人/其他组织
    • 信息公开年度报告
    • 信息公开联系方式
    • 预算决算
  1. 当前位置:首页>新闻动态>科研动态
科研动态

东北地理所在长期作物连作下施肥管理对土壤微生物残体和养分需求影响研究中取得进展

来源:

来源:   |  发布时间:2022-01-19   |  【 大  中  小 】

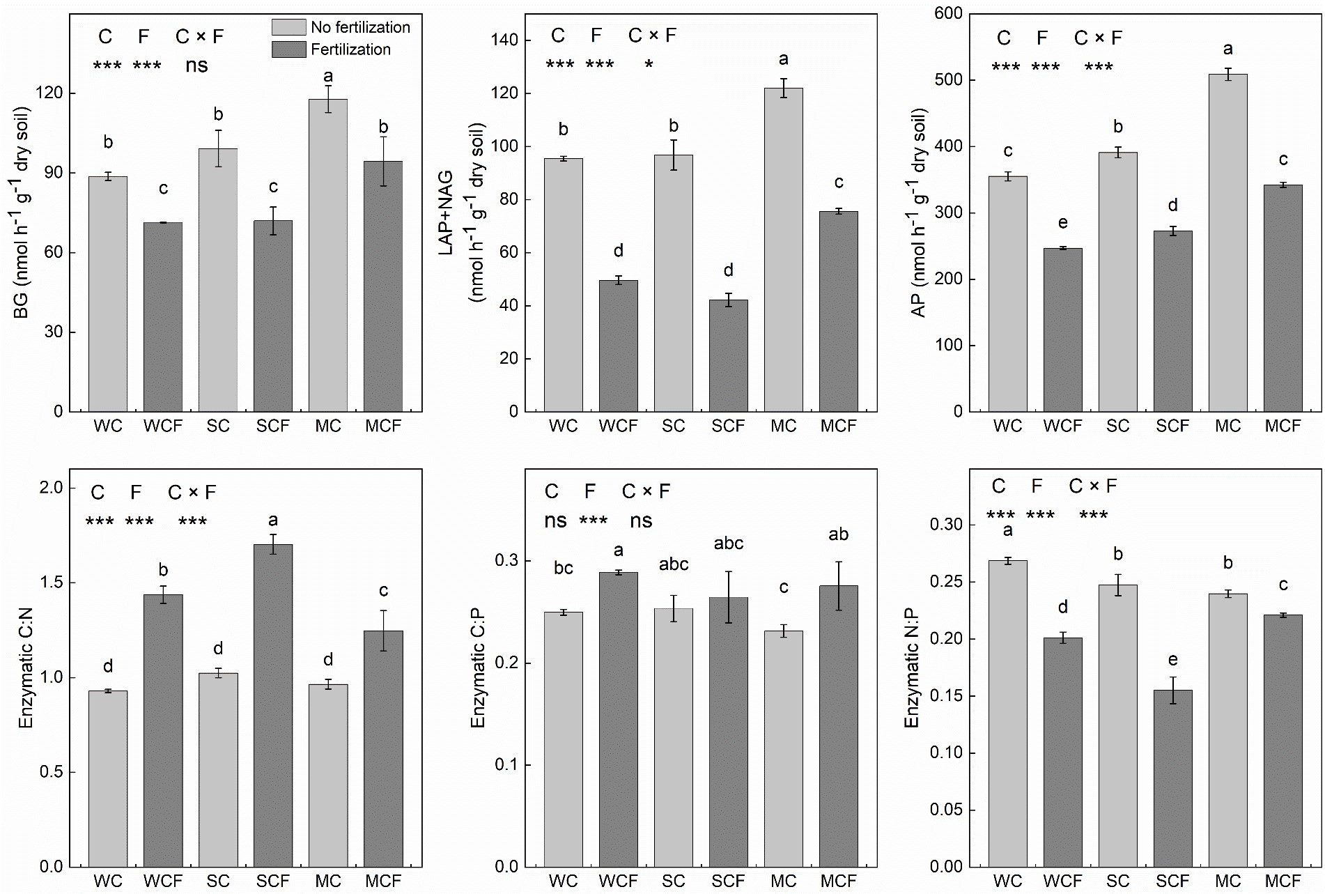
  土壤微生物及其分泌的胞外酶是土壤有机质分解和养分循环的关键媒介,其活性与作物产量和土壤有机碳及氮、磷、钾养分的有效性密切相关。氨基糖作为微生物细胞代谢产物经过微生物周而复始的生长-代谢-死亡的循环过程,不断地在土壤中积累,对土壤微生物的长期作用过程具有独特的“记忆效应”,可以评价微生物残体对土壤有机质循环的碳氮调控机制。然而,有关东北黑土区不同作物长期连作施肥下黑土有机质和微生物养分需求变化知之甚少。因此,开展以上相关机制研究,可为认识区域农田生态系统下土壤微生物介导的养分循环及其资源需求状况提供新视角。 

  东北地理与农业生态研究所黑土保护与利用学科组,利用2004年布设于黑龙江海伦农田生态系统国家野外科学观测研究站的长期连作定位试验,解析大豆、小麦和玉米连作施肥对土壤丛枝菌根真菌、厌氧菌、好氧菌、微生物养分需求及其代谢残体氨基糖的影响。研究结果显示,与不施肥处理相比,连续12年施用化肥条件下,大豆和小麦连作使土壤氨基糖含量显著降低,有效碳源的缺乏造成氨基糖的大量分解,作为部分碳源维持土壤微生物机体代谢;而玉米连作则表现相反,较高C/N的玉米残体进入土壤后为微生物提供相当数量的碳源,同时化肥的施入满足碳氮元素的平衡供给,加快微生物生长,增强土壤中无机氮素的微生物同化固定,减轻由于长期施用化肥引起的土壤酸化。与不施肥处理相比,长期施用化肥降低了土壤微生物量和酶活性,磷钾肥的过量施用可能是造成土壤微生物C限制的主要因素,微生物的养分需求主要受C和P的制约,而玉米连作可在一定程度上缓解这种限制。与大豆和小麦连作施肥相比,玉米连作处理下AMF和好氧菌生物量较高,表明种植玉米可以促进土壤微生物的营养循环,改善土壤环境。 

  图1. 长期小麦、大豆和玉米连作施肥条件下土壤酶活性及其生态化学计量比 

 

  图2. 施肥和根茬输入量对土壤细菌和真菌生物量及其残体和土壤有机碳含量   的影响 

  图3. 施肥和根茬输入碳氮比对土壤微生物量、酶化学计量比和养分循环的影响 

 

  相关研究成果发表在Journal of the Science of  Food and Agriculture和European Journal of Soil Biology上。研究得到中国科学院野外台站联盟项目(KFJ-SW-YW035-4),国家自然科学基金(41771327,41807085),黑龙江省应用技术研究与开发计划(GA19B101,GA19B105)和国家现代农业产业技术体系(CARS-04)联合资助。 

  论文信息如下: Chen Xu, Han Xiaozeng, Yan Jun, Lu Xinchun, Hao Xiangxiang, Wang Wei, Asim Biswas, Xia Zhu-Barker, Zou Wenxiu*. Land use and mineral fertilization influence soil microbial biomass and residues: A case study of a Chinese Mollisol. European Journal of Soil Biology, 2020, 100: 103216. Chen Xu, Han Xiaozeng, Lu Xinchun, Yan Jun, Asim Biswas, Zou Wenxiu*. Long-term continuous cropping affects ecoenzymatic stoichiometry of microbial nutrient acquisition: a case study from a Chinese Mollisol. Journal of The Science of Food and Agriculture, 2021, 101: 6338–6346.


附件下载:

版权所有 © 中国科学院东北地理与农业生态研究所农业技术中心 黑ICP备05001953号-1
地址:中国黑龙江省哈尔滨市南岗区哈平路138号 邮编:150081
电话:+86 451 86601328 传真:+86 451 86603736 Email:igahrb@iga.ac.cn