东北地理所在全球有机碳输入对土壤供氮潜力的影响方面取得进展
氮和碳素在土壤中存在紧密的耦合关系,由于微生物自身代谢的化学计量需求,微生物在利用外源碳素进行合成和分解代谢的同时,也将刺激有机氮的矿化过程进而影响土壤供氮潜力。但在外源有机碳输入普遍发生的背景下,仍缺乏关于土壤总氮矿化(GNM)对外源有机碳输入全球尺度响应模式的整合分析,这限制了我们对全球土壤潜在氮供应及碳氮元素流动的认识。
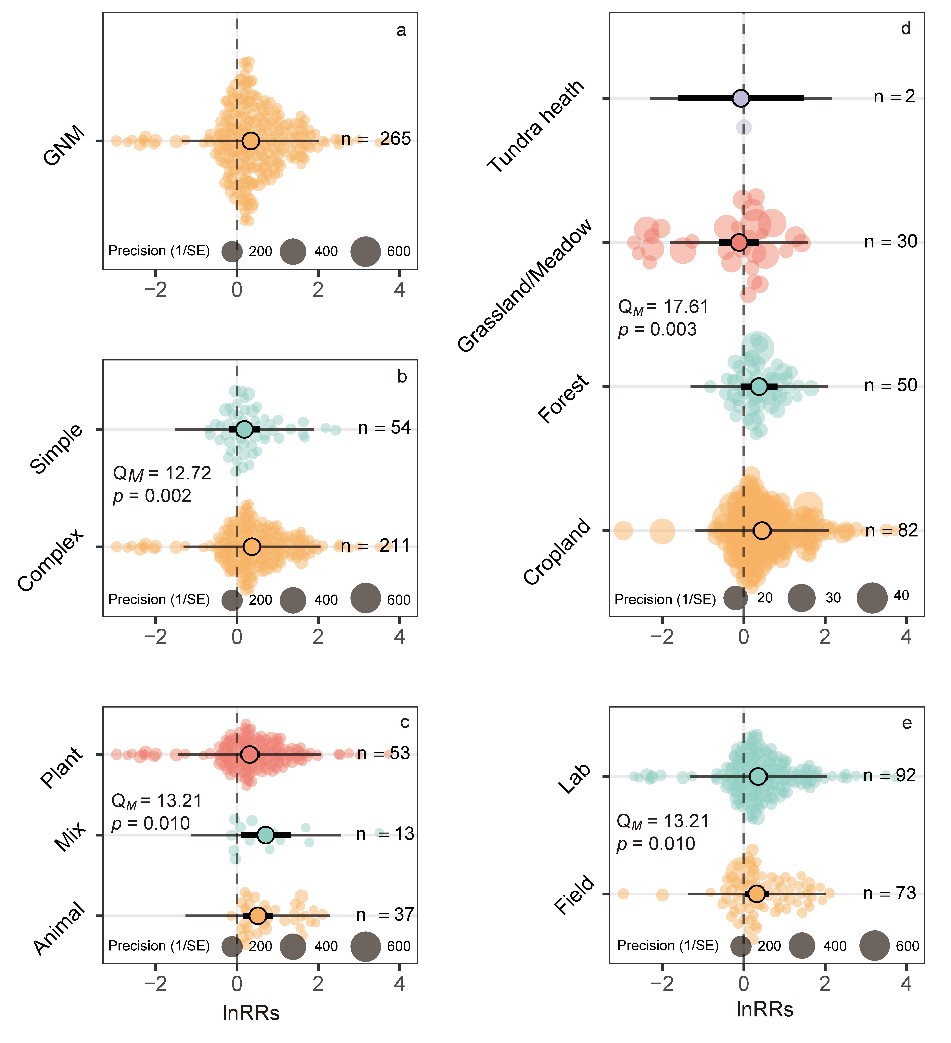
东北地理所土壤物质循环学科组研究人员在Web of Science和中国知网上检索了2021年9月10日前发表的相关文献,汇总了全球范围内63项研究的265组观测值,借助分层模型和方差-协方差矩阵,进行了土壤GNM对外源有机碳输入响应的meta分析,探讨了外源有机碳性质及环境因子对GNM的影响。
研究表明:外源有机碳的输入使GNM显著提高了40.8%(图1a)。外源有机碳基质添加对土壤GNM的影响因其种类而异,秸秆和堆肥等复杂外源有机碳的输入使土壤GNM显著提高了44.7%,而葡萄糖等简单外源有机碳输入对土壤GNM没有显著影响(图1b)。在各生态系统中,外源有机碳添加仅对农田生态系统土壤GNM有显著的促进作用(图1d)。外源有机碳基质输入对土壤GNM影响因子的分析发现,外源有机碳的输入量是影响土壤GNM最重要因素,二者呈显著正相关(p < 0.05)(图2)。此外,土壤初始pH和外源有机碳的pH在调控外源有机碳输入后土壤GNM变化中起到重要作用,且与GNM呈显著负相关(p < 0.05)。本研究meta分析结果提供了对全球范围内土壤GNM对外源有机碳基质输入响应的系统性理解,研究结果为提升碳氮耦合作用下全球碳氮循环平衡模型提供参考。

图1 土壤总氮矿化对外源有机碳添加的响应值

图2 外源有机碳添加条件下气候因子、土壤初始性质、外源有机碳性质对土壤总氮矿化的影响
相关研究成果近期发表在农林科学领域期刊《Soil & Tillage Research》上,土壤物质循环学科组特别研究助理刘明慧为第一作者,李禄军研究员和东北林业大学冯富娟教授为共同通讯作者。研究工作得到国家自然科学基金、中国科学院基础前沿科学重点研究计划项目和黑龙江省杰出青年基金项目联合资助。
论文信息:Minghui Liu, Fujuan Feng*, Lu-Jun Li*, Xinran Du, Zhuoyun Zhang, Ximei Ji. Possibility of exogenous organic carbon input to increase global soil nitrogen supply potential: A meta-analysis. Soil & Tillage Research, 2023, 232, 105773.
附件下载: